Crusader Foundation
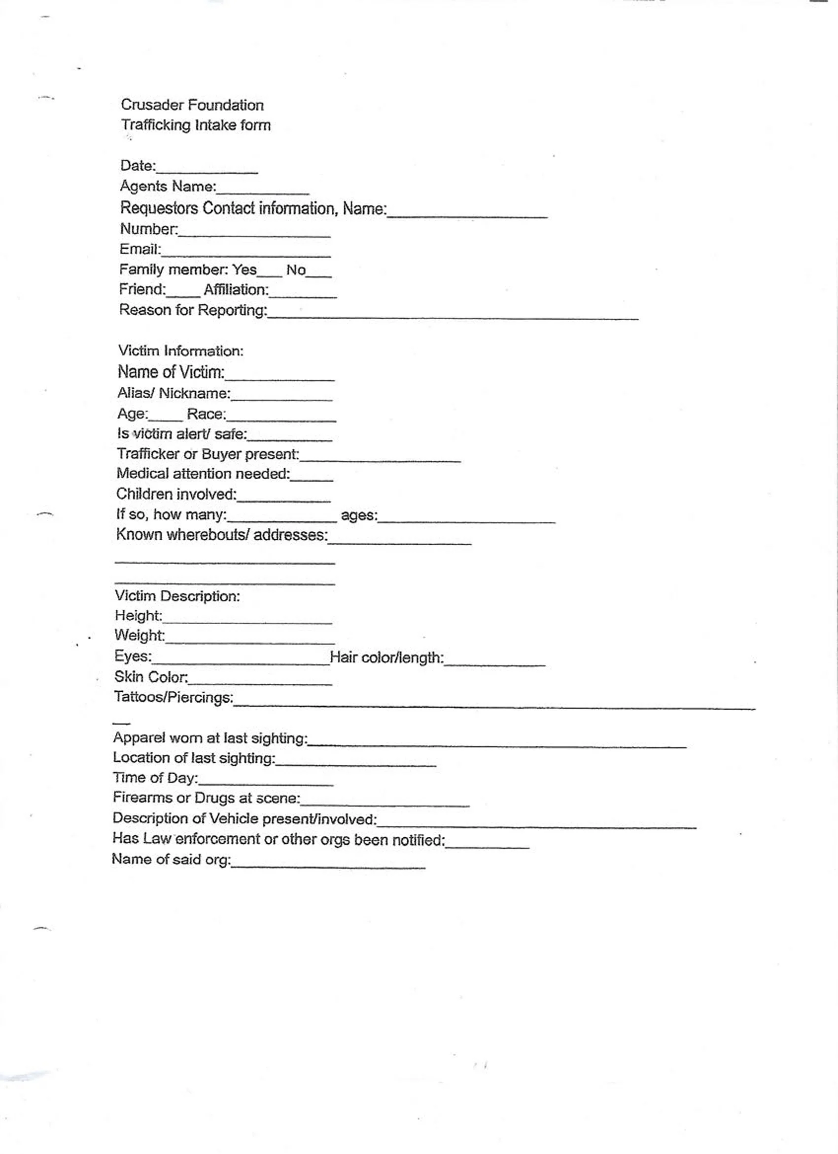
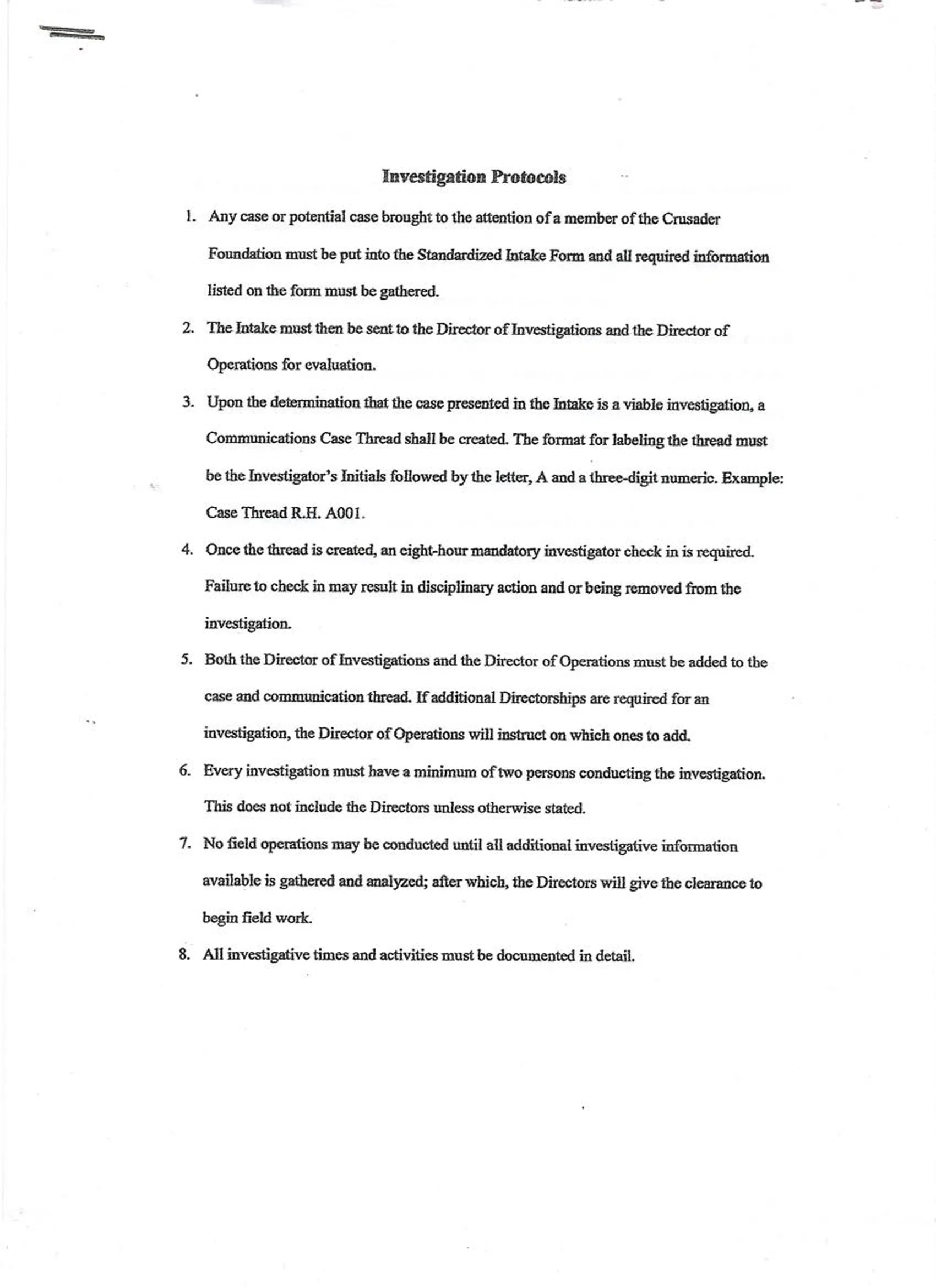
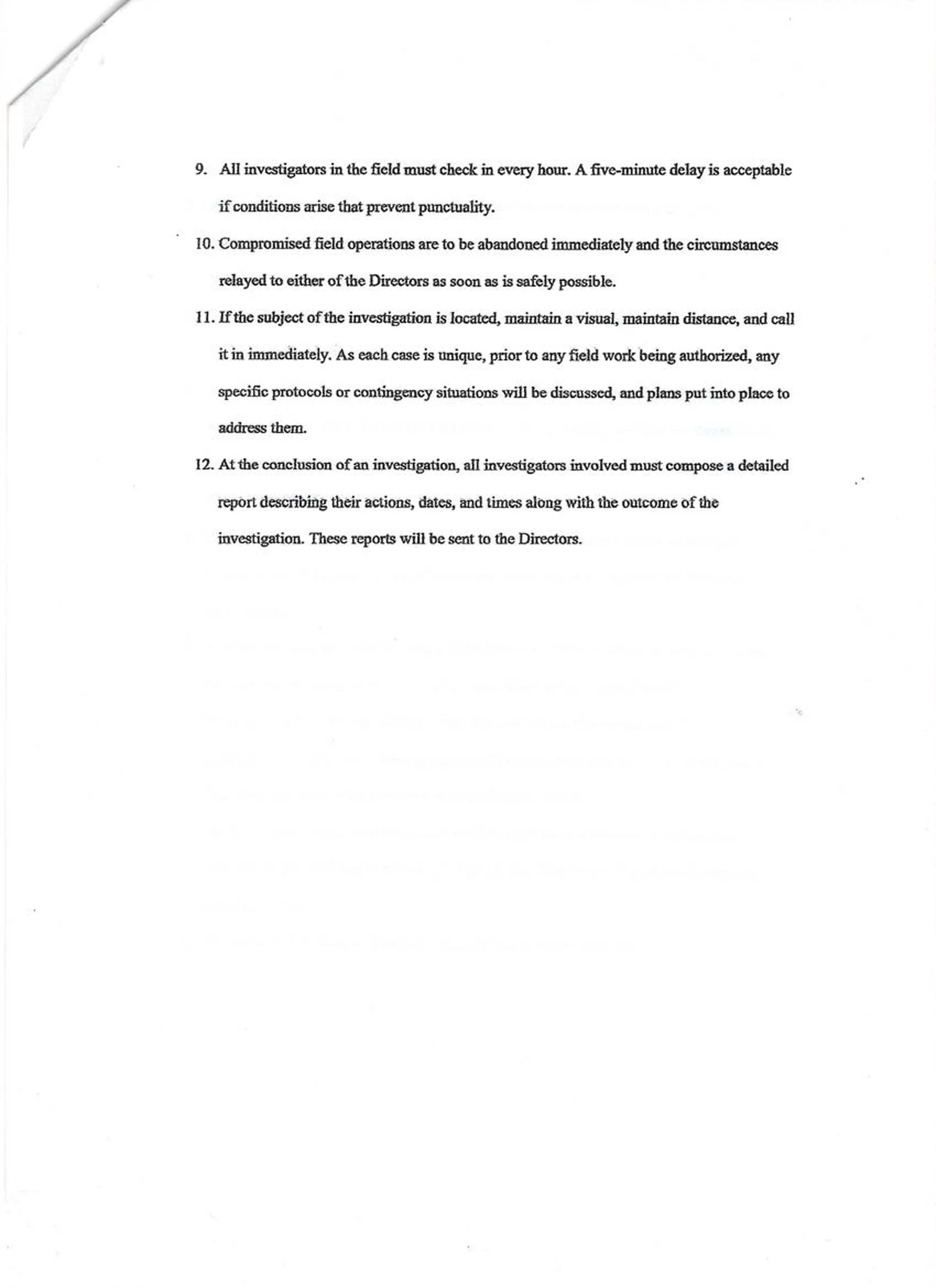
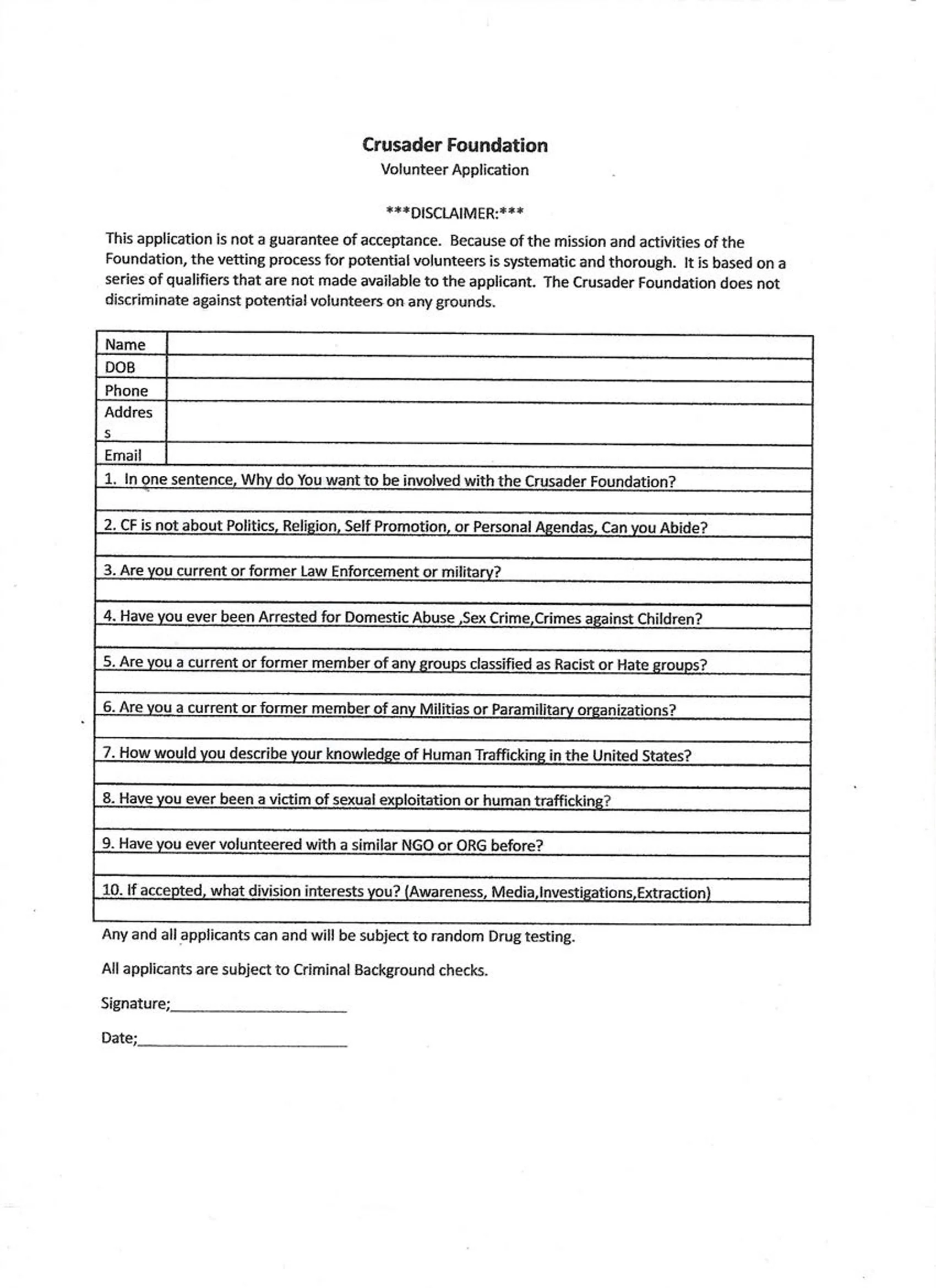
These are photos of some documents found and left by our traffickers. The others were documented, texted and saved in various ways. The documents that have names, dates, reports and details in handwriting with signatures were scanned and given to the United Way, Nebraska State Patrol and others.
I won’t comment on them because I know nothing about them or whose handwriting it is. I believe in openness, honesty, transparency and accountability though. They have been found and turned over.
I’m not even mentioning that it’s here for now. This gives people the opportunity to see for themselves, when they want to discover it. It’s also easier than emailing them to everyone when they are just charity or business materials.
Legitimate Materials
Crusader Foundation Materials