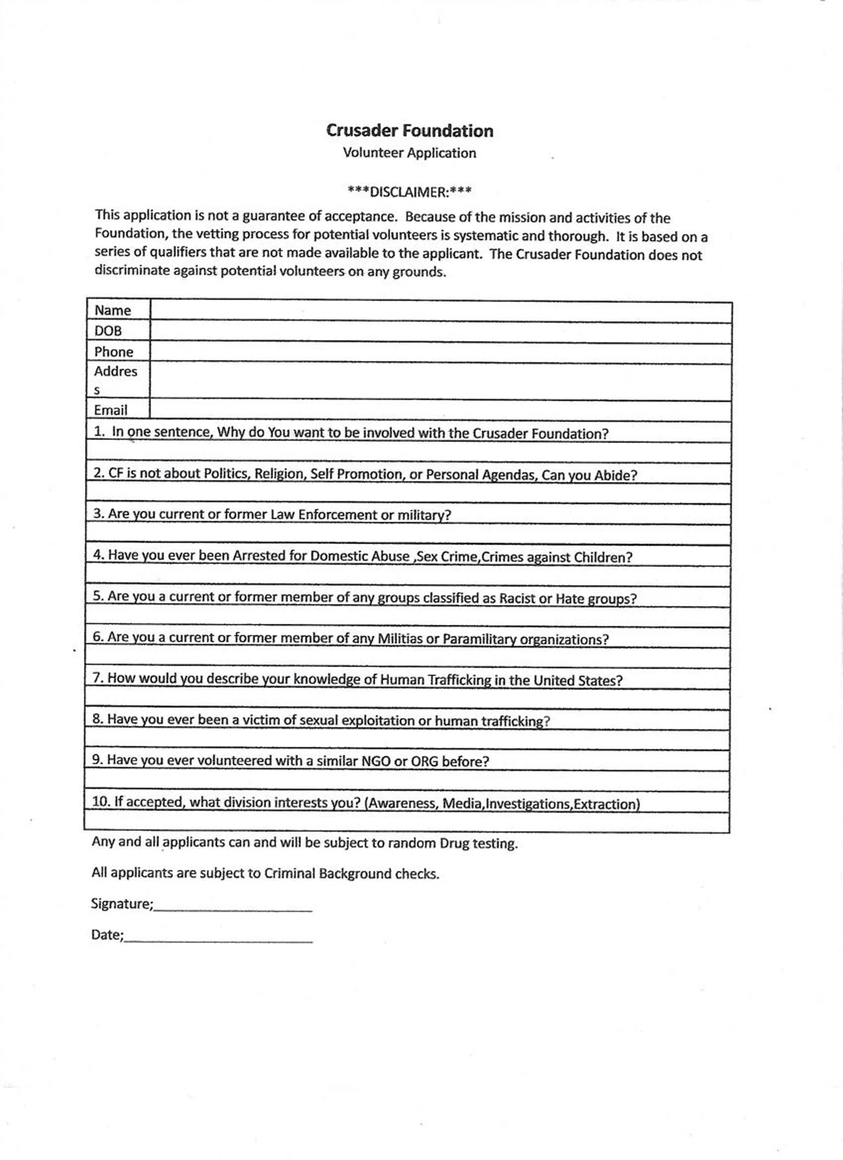
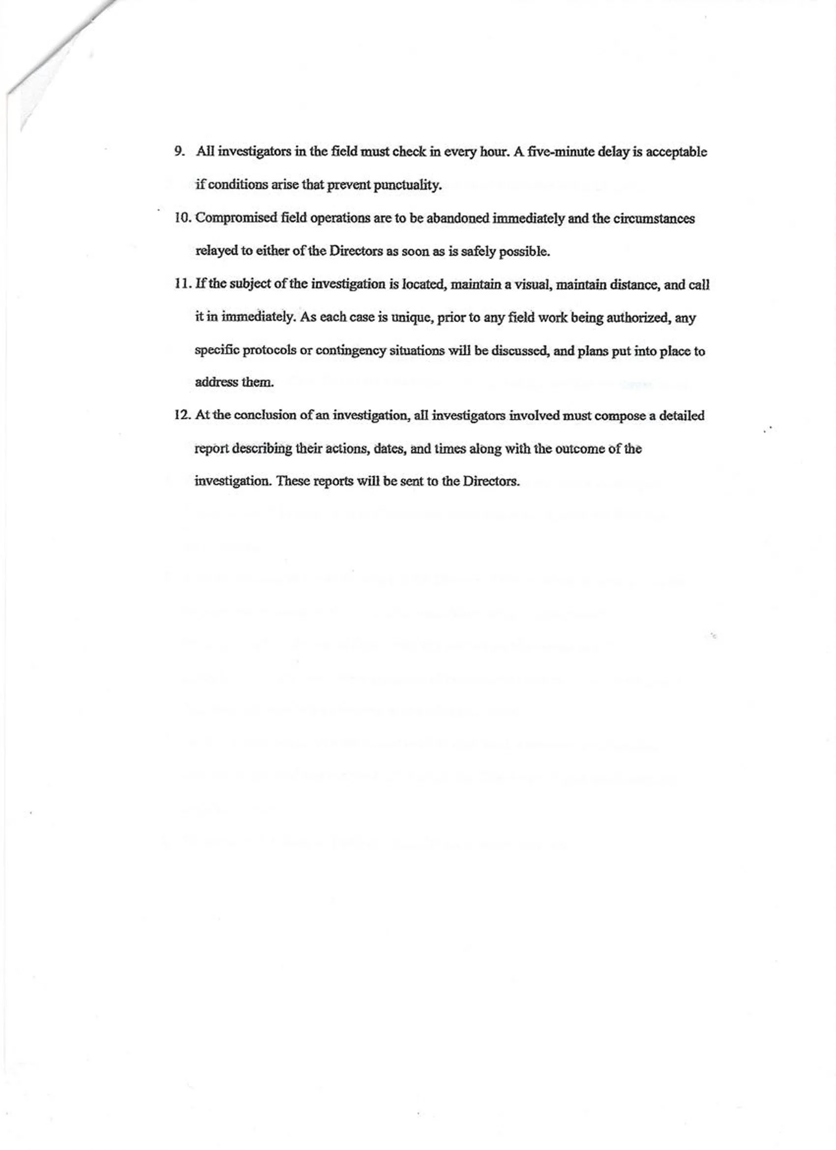
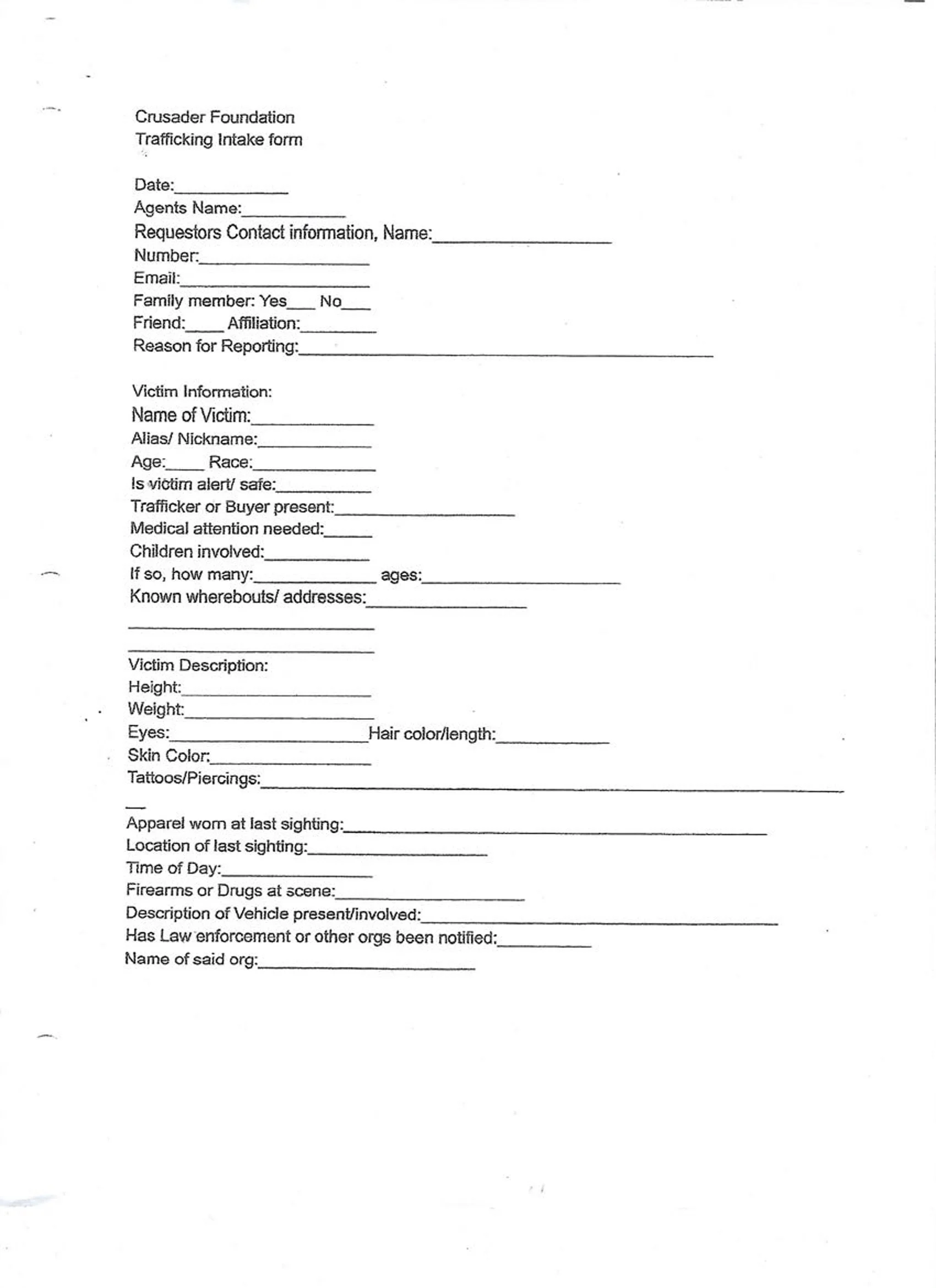
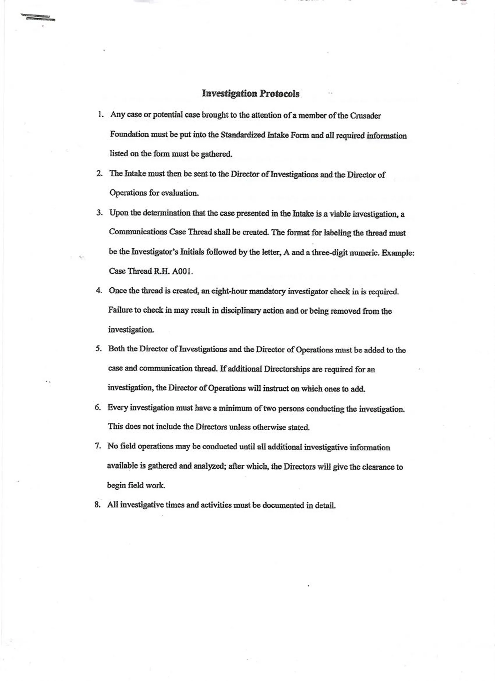
Items Belonging to Our Traffickers and Other Photos
Here are the Crusader Foundation materials found in the garage. Photos from cleaning are in the previous post. There’s nothing more to find. The house has been searched. There were items listed within the Crusader Foundation materials for members to have, including zip ties, ‘promotional items,’ stocked bags, gps, rope, etc. I photographed them but didn’t include them here.
Printed Crusader Foundation Materials
Handwritten Items with and Near Crusader Foundation Materials