The fight from Patreon.com/SlaveHouse
The Crime
These are old posts for easier reference.
June 19, 2025 - Page 1
June 19, 2025 - Page 2
June 19, 2025 - Page 3
June 19, 2025 - Page 4
June 19, 2025 - Page 5
June 19, 2025 - Page 6
June 19, 2025 - Page 7
July 12, 2025
July 20, 2025 - Page 1
July 20, 2025 - Page 2
July 20, 2025 - Page 3
July 20, 2025 - Page 1
July 20, 2025 - Page 2
July 21, 2025 - Page 1
July 21, 2025 - Page 2
July 21, 2025 - Page 3
July 21, 2025 - Page 4
July 23, 2025 - Page 1
July 23, 2025 - Page 2
July 24, 2025 - Page 1
July 24, 2025 - Page 2
July 24, 2025 - Page 3
July 24, 2025 - Page 4
July 24, 2025 - Page 5
July 24, 2025 - Page 6
July 26, 2025 - Page 1
July 26, 2025 - Page 2
August 2, 2025 - Page 1
August 2, 2025 - Page 2
August 2, 2025 - Page 1
August 2, 2025 - Page 2
August 2, 2025 - Page 3
August 9, 2025 - Page 1
August 9, 2025 - Page 2
August 12, 2025 - Page 1
August 12, 2025 - Page 2
Since the package is so large, it was placed by itself below.
Opening Letter
Table of Contents
Summary - Page 1
Summary - Page 2
Summary - Page 3
Summary - Page 4
Summary - Page 5
Summary - Page 6
Summary - Page 7
Summary - Page 8
Summary - Page 9
Harassment Protection Order - Page 1
Harassment Protection Order - Page 2
Harassment Protection Order - Page 3
Harassment Protection Order - Page 4
Harassment Protection Order - Sup 1
Harassment Protection Order - Sup 2
Elder Law Email - Page 1
Elder Law Email - Page 2
Elder Law Email - Page 3
Letters From APS - Page 1
Letters From APS - Page 2
Suicide Email - Page 1
Suicide Email - Page 2
Suicide Email - Page 3
Suicide Email - Page 4
May 10, 2024 APS Response
June 10, 2024 Email and June 14, 2024 APS Response - Page 1
June 10, 2024 Email and June 14, 2024 APS Response - Page 2
August 6, 2024 Email From Angie - Page 1
August 6, 2024 Email From Angie - Page 2
August 6, 2024 Email From Angie - Page 3
Email to Nebraska State Senator Lynne Walz and Response - Page 1
Email to Nebraska State Senator Lynne Walz and Response - Page 2
Email to Nebraska Governor Jim Pillen and Response - Page 1
Email to Nebraska Governor Jim Pillen and Response - Page 2
Email to Nebraska Governor Jim Pillen and Response - Page 3
Email to Nebraska Governor Jim Pillen and Response - Page 4
Email to Nebraska Governor Jim Pillen and Response - Page 5
Email to Nebraska Governor Jim Pillen and Response - Page 6
ME/CFS Caregiver Instructions - Page 1
ME/CFS Caregiver Instructions - Page 2
ME/CFS Caregiver Instructions - Page 3
ME/CFS Caregiver Instructions - Page 4
Employment Contract, Never Signed - Page 1
Employment Contract, Never Signed - Page 2
Employment Contract, Never Signed - Page 3
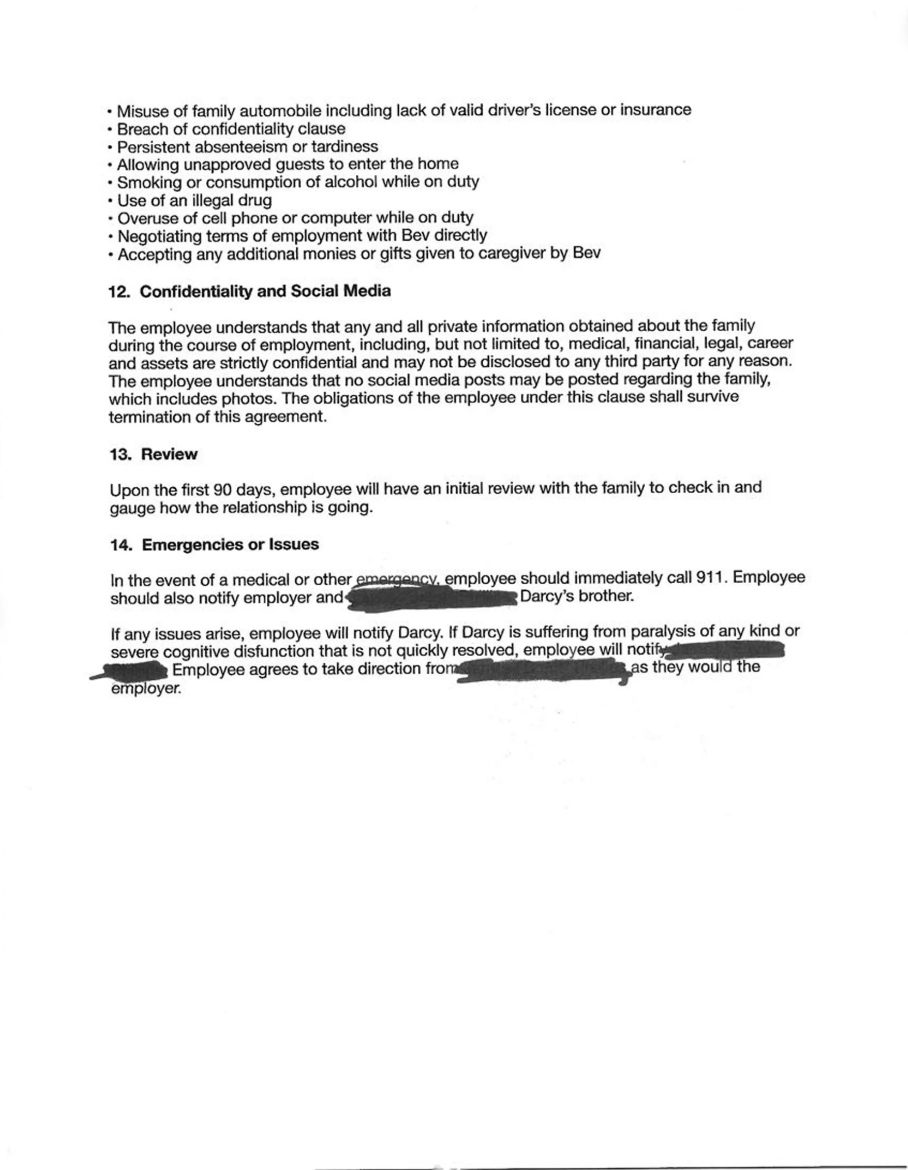
Employment Contract, Never Signed - Page 4
Employment Contract, Never Signed - Page 5
Recipients - Page 1
Recipients - Page 2
Recipients - Page 3
Recipients - Page 4
Recipients - Page 5
Recipients - Page 6
Recipients - Page 7
Recipients - Page 8
Recipients - Page 9
Recipients - Page 10
Recipients - Page 11
Recipients - Page 12
Recipients - Page 13
Recipients - Page 14
Recipients - Page 15
Recipients- Page 16
Recipients - Page 17
Recipients - Page 18
Recipients - Page 19
Recipients - Page 20
Recipients - Page 21
Recipients - Page 22
Recipients - Page 23
Recipients - Page 24
Recipients - Page 25
Recipients - Page 26
LetterStream Invoice
August 18, 2025 - Page 1
August 18, 2025 - Page 2
August 22, 2025 - Page 1
August 22, 2025 - Page 2
August 27, 2025
September 5, 2025 - Page 1
September 5, 2025 - Page 2
September 5, 2025 - Page 3
September 5, 2025 - Page 4
September 20, 2025 - Page 1
September 20, 2025 - Page 2
October 8, 2025 - Page 1
October 8, 2025 - Page 2
October 13, 2025
December 12, 2025 - Page 1
December 12, 2025 - Page 2
December 12, 2025 - Page 3
December 12, 2025 - Page 4
December 17, 2025 - Page 1
December 17, 2025 - Page 2
December 17, 2025 - Page 3